--GL Biochem (Shanghai)  Ltd -- 吉尔生化(上海)有限公司
  GL Biochem (Shanghai) Ltd._吉尔生化(上海)有限公司_定制多肽合成
  Email:anna@glschina.com 总部地址:上海市紫竹科学园紫月路519号 产品订购咨询     客户肽定制
氨基酸及衍生物

联系我们

--GL Biochem (Shanghai) Ltd -- 吉尔生化(上海)有限公司

总部地址:上海市紫竹科学园紫月路519号

咨询(24h):18221406464

邮箱:anna@glschina.com

总机:18221406464

邮编:200241


您当前位置: 首页 > 产品中心 > 氨基酸及衍生物
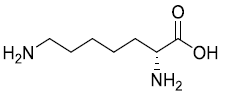
(R)-2,7-Diaminoheptanoic acid
(R)-2,7-Diaminoheptanoic acid
  • 所属分类:氨基酸及衍生物

  • G A S 号:194866-14-3

  • 分  子 式:C7H16N2O2

  • 分  子 量:160.21

  • 产品编号:

  • 价     格:待询价

产品介绍
产品交付&运输

产品交付:氨基酸原料类,多肽合成试剂类常规品种均为高纯度现货。请联系吉尔客服获取最新产品报价。


运输:我公司目前已签约国内国际多家知名快递公司。对中国大陆(除少数偏远地区)客户,免收运费;对国际客户,我们会向客户收取一定的费用。衷心感谢您的询问,并期待您的订单。


联系方式:18221406464    17321030310


相关产品