--GL Biochem (Shanghai)  Ltd -- 吉尔生化(上海)有限公司
  GL Biochem (Shanghai) Ltd._吉尔生化(上海)有限公司_定制多肽合成
  Email:anna@glschina.com 总部地址:上海市紫竹科学园紫月路519号 产品订购咨询     客户肽定制
Fmoc保护氨基酸

联系我们

--GL Biochem (Shanghai) Ltd -- 吉尔生化(上海)有限公司

总部地址:上海市紫竹科学园紫月路519号

咨询(24h):18221406464

邮箱:anna@glschina.com

总机:18221406464

邮编:200241


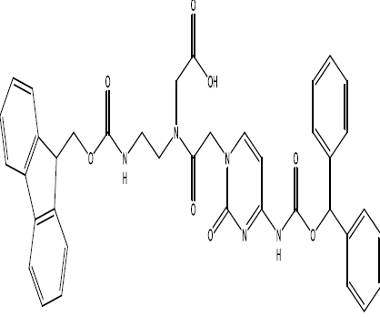
Fmoc-PNA-C(Bhoc)-OH
Fmoc-PNA-C(Bhoc)-OH
  • 所属分类:Fmoc保护氨基酸

  • G A S 号:186046-81-1

  • 分  子 式:C39H35N5O8

  • 分  子 量:701.72

  • 产品编号:23597

  • 价     格:待询

产品介绍
产品交付&运输

产品交付:氨基酸原料类,多肽合成试剂类常规品种均为高纯度现货。请联系吉尔客服获取最新产品报价。

运输:我公司目前已签约国内国际多家知名快递公司。对中国大陆(除少数偏远地区)客户,免收运费;对国际客户,我们会向客户收取一定的费用。衷心感谢您的询问,并期待您的订单。


相关产品